UPDATES
now one is able to contact us via our contact page
IGNORING THE HUMAN RIGHTS OF SERIOUSLY MENTALLY ILL PEOPLE GUARANTEES THAT THE DEATH TOLL WILL ONLY RISE
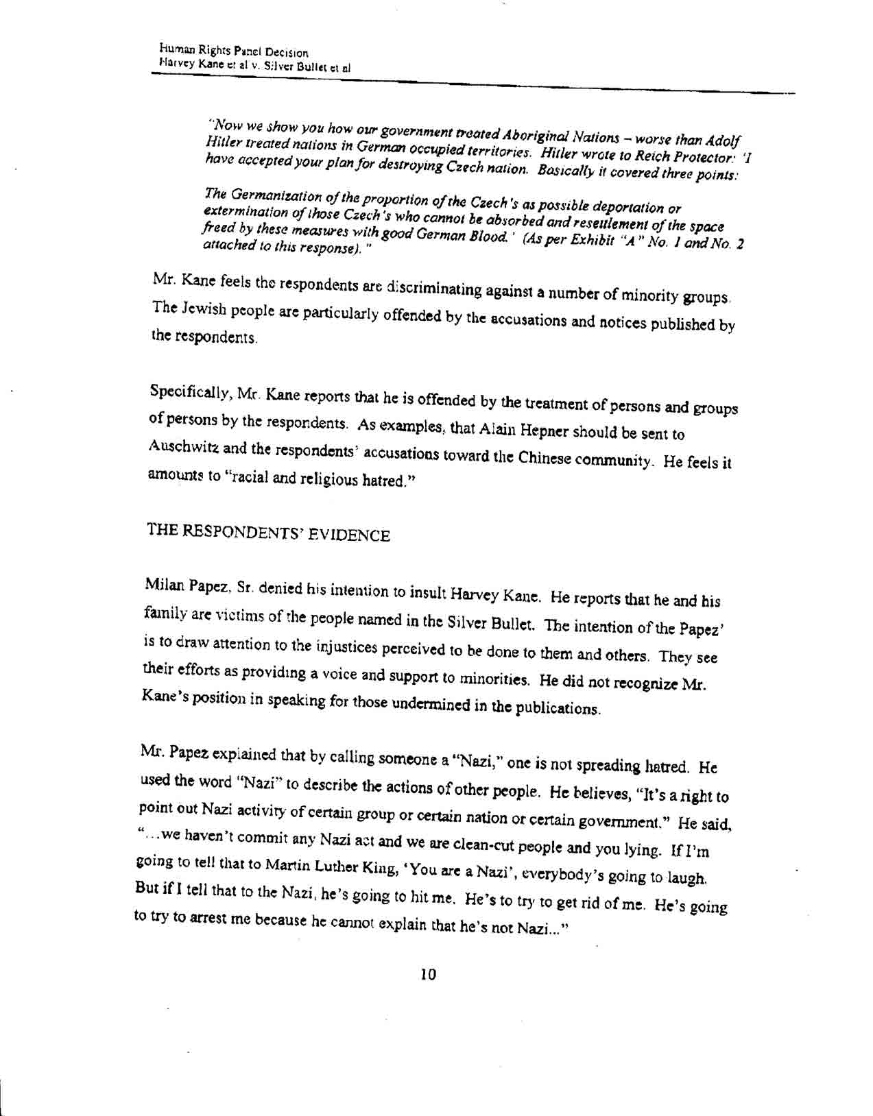
In the USA at the Treatment Advocacy Center (TAC, Virginia) www.treatmentadvocacycenter.org for 40 years TAC has been advocating for people who are seriously mentally ill with Bipolar disorder, Schizophrenia, Manic-depressive illness, Extreme Depression, Schizoaffective Disorder and working to prevent the suicides and murders of seriously mentally ill people. Suicide is the number one cause of death among the seriously mentally ill 10%-13% will kill themselves. The seriously mentally ill can only be diagnosed by a psychiatrist. Treatment and medication will save these lives and millions of dollars in healthcare costs and in policing costs. We can also save the lives of the victims killed by the seriously mentally ill in just a few months this year 40 were killed by 6 seriously mentally ill, 4 in Fredericton, 22 in Nova Scotia, 12 in Toronto, and 2 in Montreal. We can we save these lives with treatment and medication not police bullets. The seriously mentally ill need people trained to deal with them when they become violent not the police. Only the government of Germany in the 1930’s approved carbon monoxide to gas for the seriously mentally ill. When I am advocating for TAC in Canada and this is my constitutional and human right and politicians like Stephen Harper, Ralph Klein, mayor Nenshi; Journalists Tara Nelson and Ina Sidhu at CTV and Daryl Slade and the Calgary Herald and Rick Bell at the Sun created fake news stories that I am doing fake advocacy. This was not enough for mayor Nenshi and the journalists Tara Nelson And Ina Sidhu at CTV and Daryl Slade And The Calgary Herald and Rick Bell at the Sun when they knew that I am a survivor of German Nazis and survived the carpet bombing by the Allies and ended up trapped on the front lines for 11 days between two super powers came to Canada as refugee fleeing Communists. Wrote and produced a play in the Pump House Theatre which Louis B. Hobson staff writer Calgary Sun. Mayor Nenshi and the journalists Tara Nelson And Ina Sidhu at CTV and Daryl Slade And The Calgary Herald and Rick Bell at the Sun violated my human rights and freedom of speech by lying to 38 million Canadians and saying that I am a Neo-Nazi and that I am denying the Holocaust they are the biggest liars and master perpetrators of systemic racism in Canada.
POSTED 17 December 2020
GOOGLE: LIES OF TARA NELSON AND INA SIDHU AND IMAGES TODAY
Everyone must ask TARA NELSON AND INA SIDHU why they continue to lie to Bishop Henry and spread false information to everyone about me being a Nazi and Anti-Asian everybody knows that my trial was top secret behind closed doors and TARA NELSON AND INA SIDHU continue to lie to everybody.
POSTED 13 Jan 2018
TARA NELSON AND INA SIDHU AND LISA LAFLAMME AND DARYL SLADE AND THE CALGARY HERALD I SENT THIS LETTER TO BISHOP FREDERIK HENRY IN 2004. THE WORDS OF MATTHEW AND LUKE ARE TRUE YOU CAN SEE ALL THE EVIDENCE HERE ON THIS WEBSITE AND YOU STILL HAVE NOTHING TO SAY BECAUSE YOU WEREN’T EVEN THERE THE COURT KEPT YOU OUT OF THE LOOP.
POSTED 3 Dec 2017
OUR GOVERNMENTS CALL THIS A SOLUTION
POSTED 22 Jun 2016
HOW WAS ANYBODY ABLE TO BELIEVE IN THE PRESS AND MEDIA WHEN THEY ARE RACIST AGAINST MINORITIES
POSTED 3 Jun 2016
THE PRESS AND MEDIA ARE RACIST AGAINST MINORITIES
On the 25th of May 2016 global news approached us for an interview we told them no comment why because global has never broadcast the 1.5 hour interview we already shot in there studio if global wants an interview they must first broadcast the one they already have. In 39 years the CBC, CTV, City, Calgary Sun, Calgary Herald have never written our side of the story however they have written a twisted version of what we have said and told the world what monsters we are and the Calgary Herald got a court order preventing us from criticising the Calgary Herald freedom of the press is only for those who own the press. The press and media are racist against minorities and people with schizophrenia who are a minority within minorities. All one has to do is read this web site all the information is here.
S O S TO ALL CALGARY XXXXXXX PLEASE TELL THE WORLD WHO XXXXX XXX IS
POSTED 26 May 2016
THE UNIVERSITY OF CALGARY IS LYING
THE UNIVERSITY OF CALGARY IS LYING AND COVERING UP THE LIES OF THE AHS AND THE FEDERAL GOVERNMENT OF CANADA REGARDING THE SERIOUSLY MENTALLY ILL PSYCHIATRIC PATIENTS THE UNIVERSITY OF CALGARY WOULD RATHER TEACH THEORIES FROM THE DARK AGES THAN MAKE IT POSSIBLE FOR PEOPLE TO GET WELL.
POSTED 12 Apr 2016
Anti-Slavicism is Racism
The Canadian Government continues its racist persecution of victims of Adolph Hitler and Joseph Stalin (Jughashvili), because we are Slavic Race and Czech Nationals.
POSTED 14 Mar 2016
Anti-Slavicism is Racism
The Slavic Gene, Genetic proof of common origin of all Slavs
POSTED 6 Mar 2016
OUR BEST DESCRIPTION AND EXPLANATION OF THE CANADIAN MASSACRE OF SERIOUSLY MENTALLY ILL PSYCHIATRIC PATIENTS.
POSTED 19 Feb 2016
Canadian campaign following Hitler’s teaching.
The government is killing the brains of people with schizophrenia by refusing to modify our outdated laws so people with schizophrenia cannot receive involuntary hospitalization and treatment. By denying this treatment to people with schizophrenia the government wants to save money on healthcare just as Hitler did. We have to modify our outdated laws just as the United States did in 1983 under President Carter’s administration.
POSTED 6 Feb 2016
FIRST THREE SILVER BULLETS OF 2016
One more example of a genocide campaign authored by Hitler and carried out by German Nazis.
POSTED 25 Jan 2016
STEPEN HARPER
PRIME MINISTER OF CANADA
email pm@pm.gc.caLook at our web site http://www.milanpapezsrmilanpapezjr.ca and stop the our persecution. The Alberta Human Rights and Citizenship Commission coverd up the fraud of Jewish layer XXXXXX XXXXXX Q.C. and the fraud committed by the director of the XXXXXXX Culural Centre XXXXX XXX. All we are asking for is a fair Hearing.
Milan Papez Sr. Milan Papez Jr.
POSTED 17 Jun 2009
ED STELMACH
PREMIER OF ALBERTA
email fortsaskatchewan.vegreville@assembly.ab.caLook at our web site http://www.milanpapezsrmilanpapezjr.ca and stop the our persecution. The Alberta Human Rights and Citizenship Commission coverd up the fraud of Jewish layer XXXXXX XXXXXX Q.C. and the fraud committed by the director of the XXXXXXX Culural Centre XXXXX XXX. All we are asking for is a fair Hearing.
Milan Papez Sr. Milan Papez Jr.
POSTED 17 Jun 2009
"The Calgary Sun, Thursday October 25, 1984 Riveting story is short actors LOUIS B. HOBSON Staff Writer Forty years is a long time. Much can be forgotten in four decades, if we let it. But University of Calgary drama student Michael Davidson doesn’t want Calgarians to forget what happened in Czechoslovakia, his parent’s homeland, at the height of Nazi mania. Davidson’s one-man show, There Is A Rose Garden, running until Saturday in the Pumphouse Theatre, is a lyrical indictment of the horrors committed against innocent villagers after the assassination of Nazi high commander Reinhart Heydrich in 1942. Haydrich who was called the “Butcher of Prague” became the prime target of Czech military patriots in England. A small squad parachuted into Prague and succeeded in killing the mass murderer. The Nazis promptly destroyed the village of Lidice, leveling it and killing all 500 of its inhabitants. Today, a rose garden marks the spot of the massacre. Before Heydrich’s assassins were found, the Nazis killed 5,000 Czechs in reprisal. Davidson retells these incidents through a young man whose family and girlfriend become victims of the horror. There are shades of The Diary Of Anne Frank and I Never Saw Another Butterfly, two famous Holocaust stories. But the play suffers from the one-man approach. It would be far more effective if the ghost of the girlfriend were present, plus one or two actors to represent villagers who now appear as voice-overs on a sound tape. There is no denying that the subject matter is riveting. It even succeeds in sustaining interest, despite the inadequacies in Davidson’s production. Tickets are $4, and $3 for students and seniors."
The United Nations Human Rights Council should shut down and investigate the Alberta Humane Rights and Citizenship Commission for its human rights atrocities.
Milan Papez Sr. Milan Papez Jr.
POSTED 2 Jul 2009
Lindsay Blackett
Minister of Culture and Community Spirit MLA, Calgary-North West reply to our email to ED STELMACH PREMIER OF ALBERTA
Dear Mr. Papez Sr. and Mr. Papez Jr.:The Honourable Ed Stelmach, Premier, forwarded your e-mail of June 21, 2009, regarding the Alberta Human Rights and Citizenship Commission (the Commission). Premier Stelmach has reviewed your concerns and has asked me, as Minister of Culture and Community Spirit, responsible for Alberta ’s human rights legislation and policy framework, to respond on behalf of the Government of Alberta.Because the Commission operates independently of government, elected officials cannot become involved in individual cases or in the Commission’s day-to-day operations. The Commission is guided by the Human Rights, Citizenship and Multiculturalism Act in carrying out its responsibilities. In addition to outlining processes to resolve complaints, the Act includes a variety of appeal provisions to ensure that the correct decision is made in each case. For example, in cases where there is disagreement with a panel decision, the Act provides that a party may make an appeal to the Court of Queen’s Bench within 30 days after the party receives a copy of the panel’s decision. You mention on your website that you have been physically assaulted. I encourage you to report such incidents to your local police. Thank you for taking the time to write.Sincerely,Lindsay BlackettMinister of Culture and Community SpiritMLA, Calgary-North Westcc: Honourable Ed Stelmach, PremierThis email and any files transmitted with it are confidential and intended solely for the use of the individual or entity to whom they are addressed. If you have received this email in error please notify the system manager. This message contains confidential information and is intended only for the individual named. If you are not the named addressee you should not disseminate, distribute or copy this e-mail.
OUR REPLY TO LINDSAY BLACKET
4/9/2009Dear Lindsay Blacket,Minister of Culture and Community SpiritThank you for your reply to our email on behalf of Premier Ed Stelmach. However, we would like to first point out that all of our complaints of our human rights being violated to the Alberta Human Rights and Citizenship Commission were ruled that they are not violations of our human rights. We complained to the Alberta Human Rights and Citizenship Commission with the following violations. We complained about the physical assaults, when we held our protests at city hall to protest the crimes of XXXXXXX XXXXXX and XXXXX XXX and to help the 20,000 seriously mentally ill, Mayor Dave Broconier and city council were constantly sending city hall security and the police to stop our protest. When we were physically assaulted by the city hall security we complained to mayor Bronconier and all the alderman and alderwoman. They never replied. How does anyone expect the city of Calgary police to lay charges against city hall security? In our position, we must be prepared to take some bumps and bruises. We have been assaulted, so many times that we have lost count. Next is the appeal process. An appeal is only possible if and only if one has a fair chance to appeal since the court modifies the transcripts, Canadian citizens do not have a chance to appeal. Canadian governments must first legislate that trails are conducted under camera surveillance and recording devices must be allowed in courtrooms, just as they are allowed everywhere else in the world. We complained to the Alberta Human Rights and Citizenship Commission about XXXXXX XXXXXXX a self-appointed lawyer for our family. In the hallways of the provincial courthouse we told him that we wanted to postpone the trail because we were receiving harassment telephone calls “that we will be killed”, one of the witnesses at the trail was later convicted of making the threats. We also told him that for the past three days we did not sleep at home because all of our windows on the front of the house were broken and that we are in no condition to go on trial, he insisted that our 16-year-old son must go on trial in adult court no matter what. The court also modified the transcript from the trial so that our appeal would be impossible. If you want to see all the details of this trial, we will supply all the information for you to see. This was a heinous violation of our constitutional and human rights.We have also complained to the Alberta Human Rights and Citizenship Commission about the Fraud committed by the director of the XXXXXXXX cultural centre XXXXX XXX. If one wants to see the details of this trial as well, we can supply the details for you to look at. This trial was a masterpiece of fraud and 100% kangaroo court. Despite the fact that Milan Jr. served time in jail, the court destroyed the transcript and all evidence that the trial took place. Mr. Minister Lindsay Blacket and all MLA’s how can one appeal if the transcript does not exist. Once again, this is a clear violation of our constitutional and human rights. The Calgary XXXXXXX community and the Calgary XXXXXXX Cultural Centre have full knowledge of this fraud and that is why the XXXXXX community has never complained to the Alberta Human Rights and Citizenship Commission that we are anti-Chinese or anti-Asian.Since it is impossible to get an appeal and the Calgary press refused to deliver our side of the facts, we started our own publication the “Silver Bullet”. We delivered the truth to Calgarians about the heinous crimes committed by XXXXXX XXXXXXX and XXXXX XXX. Instantly we became a target of the press Calgary Herald, Calgary Sun, CTV, CBC, Global, and CITY TV. We received many punches from the Calgary press as they tried to discredit our protest and our publication by provoking a fight so they could avoid reporting on our case. We continued to deliver the Silver Bullet and to protest in front of city hall. The Calgary press was under enormous pressure from the public to report on our case. However, the corrupted press did nothing but continue to cover up the heinous crimes of XXXXXX XXXXXXX and XXXXX XXX. The best the Calgary press could do is to call the police on us constantly but they were unable to shut us up or shut us down. All the Calgary Herald could do is start a law suit to try to silence our publication the Silver Bullet in order to continue the cover up of the heinous crimes and fraud committed by XXXXXX XXXXXXX and XXXXX XXX. The judge silenced the Silver Bullet by ordering us to stop criticizing the Calgary Herald, its reporters, writers, editors, employees, and paperboys. Every Czech on this planet may be proud of this judgment. THE CANADIAN PRESS CLAIM OF DELIVERING THE NEWS YOU CAN TRUST IS FALLS. The Silver Bullet put immense pressure on XXXXXX XXXXXXX and XXXXX XXX in our attempt to expose the truth about the heinous crimes committed by XXXXXX XXXXXXX and XXXXX XXX. The XXXXXXX community knew that it was a heinous fraud committed by XXXXXX XXXXXXX and XXXXX XXX so they kept completely silent. However, on the other hand XXXXXX XXXXXXX and the Calgary Jewish community could not take the pressure. The Jewish Defense League of Canada, XXXXXX XXXXXXX, Harvie Kane, and Jim Foster jointly fabricated the evidence that we are anti-Semitic, anti-Asian, and anti-Chinese at the Alberta Human Rights and Citizenship Commission. The hearing was just another kangaroo court and yet again, the transcript is altered. Mr. Minister we need cameras and recording devices at these kinds of hearings. Because of this kind of hearing, the Canadian press does nothing, but slanders us in big bold letters that we are anti-Semitic, anti-Asian, and anti-Chinese. Without publishing, our side of the facts we have to endure such torture at the hands of the Canadian press and the rest of my children were ridiculed and bullied by other children and neighbors. Mr. Minister Lindsay Blacket we want fair trials, fair hearings, cameras and recording devices in courtrooms, and we want you to abolish the Jewish Defense League of Canada along with Alberta Human Rights and Citizenship Commission for this conspiracy. Mr. Minister Lindsay Blacket this is only half of all the violations of the constitution and human rights we have experienced. If this is not enough evidence for you that we are innocent, we are prepared to supply you with all information.cc: Honourable Ed Stelmach, Premier
Milan Papez Sr. Milan Papez Jr.
POSTED 4 Sep 2009
We have received a confusing reply from Premier Ed Stelmach and Minister Lindsay Blacket to our last email.
Dear Mr. Papez:I am in receipt of your e-mail of September 4, 2009, regarding human rights issues.As mentioned in my e-mail to you of July 20, 2009, because the Commission operates independently of government, elected officials cannot become involved in individual cases or in the Commission’s day-to-day operations. The Commission is guided by the Human Rights, Citizenship and Multiculturalism Act in carrying out its responsibilities.The Government of Alberta established the Office of the Ombudsman to ensure that the processes used by all government departments and agencies are administratively fair. If you feel that you have been treated unfairly in any dealings you might have had with the Commission, I encourage you to contact the Ombudsman at:Alberta Ombudsman2800, 10303 Jasper AvenueEdmonton , AB T5J 5C3 Sincerely,Lindsay BlackettMinister of Culture and Community Spirit MLA, Calgary-North West This email and any files transmitted with it are confidential and intended solely for the use of the individual or entity to whom they are addressed. If you have received this email in error please notify the system manager. This message contains confidential information and is intended only for the individual named. If you are not the named addressee you should not disseminate, distribute or copy this e-mail.
Our reply to Premier Ed Stelmach and Minister Lindsay Blacket’s confusing email
10/10/2009Dear,Premier Ed Stelmach and Minister Lindsay Blackett In our correspondence with you, we have informed you that the actions of XXXXXX XXXXXXX, Harvie Kane, Jim Foster Alberta Human Rights and Citizenship Commission, Jewish Defense League of Canada are criminal actions. We would also like to point out to you that we have already asked the Ombudsman for help twice. The ombudsman has replied twice and both times the reply was that he the ombudsman cannot investigate these crimes and gave us the advice that only the government of Alberta can order a criminal investigation. Lindsay Blackett you the Minister in charge of the Alberta Human Rights and Citizenship Commission have received the information that the Alberta Human Rights and Citizenship Commission committed a crime and according to the Ombudsman you are obligated to open up a criminal investigation and investigate the crimes committed by the by the Alberta Human Rights and Citizenship Commission. We do not understand why you are telling us to contact the Ombudsman. When we all know that, the decisions of the Alberta Human Rights and Citizenship Commission can be appealed only at court of Queen’s Bench and you, know that this appeal is impossible because of the crime committed by the Alberta Human Rights and Citizenship Commission. We are asking you today, for a second time to investigate the crimes committed by the Alberta Human Rights and Citizenship Commission, so that justice may prevail.Sincerely,Milan Papez Sr and Milan Papez Jrcc: Prime Minister Stephen Harper cc: Premier Ed Stelmach
POSTED 11 Oct 2009
United nation’s office at Geneva
Human Rights Violations in Cananda
18/10/2009 CP@ohchr.org United nation’s office at GenevaOur human rights were violated in Canada and our case is explained on this web site http://www.milanpapezsrmilanpapezjr.ca . We are looking for you so that you will be able to investigate these human rights violations.Milan Papez Sr.Milan Papez Jr.
POSTED 18 Oct 2009
W5
After watching your reportage on three men killed by RCMP officers in British Columbia and all RCMP constables involved in their deaths cleared. Without any criminal charges laid in their deaths. We are sending you a link to our web site http://www.milanpapezsrmilanpapezjr.ca we have been wrongfully convicted in Alberta and are looking for a fair trial and fair treatment by the Human rights commission of Alberta.Milan Papez SrMilan Papez Jr
Thank you for contacting CTV.
Feedback from our viewers is important to us.We regret that due to a large volume of email and calls we regularly experience, we may not be able to respond to your message personally. But please know that all emails are read and forwarded to CTV's senior management. They are made aware of what viewers are asking for and about, and hear your complaints and suggestions.Thank you again for the time and care you took in writing to us.Regards,CTV Programming
POSTED 1 Nov 2009
TO STEPEN HARPER
PRIME MINISTER OF CANADA
email pm@pm.gc.ca,ED STELMACH
PREMIER OF ALBERTA
email fortsaskatchewan.vegreville@assembly.ab.ca,Lindsay Blackett
Minister of Culture and Community Spirit MLA, Calgary-North West,
United nation’s office at Geneva,
W5
“Just for the record”
We would like to point out to all that there are a large number of web sites on the internet using the corrupted decision of the Alberta Human Rights and Citizenship Commission even universities are using Alberta Human Rights and Citizenship Commission ruling as an example to base their research and studies on. All of these studies and web sites are nothing more than pieces of toilet paper to be flushed down the toilet. It is now clear that the Alberta Human Rights and Citizenship Commission are a totally useless organization and a total waste of tax payer’s money. We are asking you to investigate all of these false web sites such as http://www.stopracism.ca/book/export/html/2652, http://www.chumirethicsfoundation.ca/files/pdf/Hate_Speech_and_Canadian_Law_Jan2008.pdf, https://litigation-essentials.lexisnexis.com/webcd/app?action=DocumentDisplay&crawlid=1&doctype=cite&docid=38+U.B.C.+L., we are asking for an investigation into all of these false websites that are in violation of human rights. We are asking that these websites be shut down and removed from the internet for being garbage and spreading hatred and have ruined our lives.
Milan Papez Sr. Milan Papez Jr.
POSTED 10 Nov 2009
TO STEPEN HARPER
PRIME MINISTER OF CANADA
email pm@pm.gc.ca,ED STELMACH
PREMIER OF ALBERTA
email fortsaskatchewan.vegreville@assembly.ab.ca,Lindsay Blackett
Minister of Culture and Community Spirit MLA, Calgary-North West,
United nation’s office at Geneva,
W5
ALBERTA IS A PROVINCE OF RACIST REDNECKS PLEASE HELP US HELP THE MENTALLY ILL IN ALBRTA
We have not received any response from the prime minister’s office or from the premiere Ed Stelmach’s office, and or Lindsey Blacket’s office.
By our experience we could be waiting for a while so while we wait for response from the prime minister’s office or from the premiere Ed Stelmach’s office, and or Lindsey Blacket’s office. Therefore, while we wait for a response we would like to continue to work on exposing the total incompetence of our federal and provincial governments. In 1997, we stared Victims of Schizophrenia Society so we could speak for a group of people who are a minority within minorities “PEOPLE SUFFERING FROM SCHIZOPHRENIA”
Our federal and provincial governments are out of step with reality. In 1984, the medical profession in the USA discovered:
- MEDICATION IS NECCESARY AND MUST BE TAKEN REGULARALY TO PREVENT PERMANENT DAMAGE TO THE BRAIN BY PSYCHOSIS
- MAJORITY OF PEOPLE WHO SUFFER FROM SCHIZOPHRENIA DO OT KNOW THEY ARE ILL SO THEY DO NOT TAKE THE MEDICATION
- THE ONLY WAY TO DELIVER THE MEDIATION AND PREVENT THE PERMANENT BRAIN DAMAGE IS WITH A LAW THAT PROVIDES FOR INVOLUNTARY TREATMENT OF THE MENTALLY ILL
After making these findings, the USA government passed the law for involuntary treatment of the seriously mentally ill people. The USA also discovered that after implementing this law for involuntary treatment of the seriously mentally ill people that it saves lives and billions of dollars in health care cost. This is the reason why we started to lobby the Alberta government to pass this law for involuntary treatment of the seriously mentally ill people in Alberta. Once again, for our effort we were beaten by the press and city council, harassed and arrested. Our publication the “SILVER BULLET” was the key element to passing the law for involuntary treatment.
Without any response from the Alberta government in 2006, we established Victims of Schizophrenia Society and as the society, we introduced a private bill to the Alberta legislature to amend the Alberta Mental Health Act to include involuntary treatment of the seriously mentally ill. The bill was passed into law in 2007. To this day the law has not been administered properly because we do not have the hospital beds for the mentally ill and we do not have enough psychiatrists an qualified nurses to take care of these seriously mentally ill people.
The psychiatrists and psychologists that we do have are being educated with theories from the dark ages.
While the cooperation between nurses and police sounds like a good idea. This idea belongs in prehistoric times. Diagnosis Schizophrenia must be done by a psychiatrist because making the diagnosis is a difficult process. As you can see our universities are operating in the dark ages we are asking you to send an email to
STEPEN HARPER
PRIME MINISTER OF CANADA
email pm@pm.gc.caED STELMACH
PREMIER OF ALBERTA
email fortsaskatchewan.vegreville@assembly.ab.caLindsay Blackett
Minister of Culture and Community Spirit MLA, Calgary-North West reply to our email to ED STELMACH PREMIER OF ALBERTA
- 1. Without medication 10 to 13% of seriously mentally ill will commit suicide
- 2. 9% will commit a violent crime using a weapon
- 3. In Alberta we have 20,000 people suffering with schizophrenia without any treatment or medication
Milan Papez Sr. Milan Papez Jr.
POSTED 19 Nov 2009
We have received a reply from Premier Ed Stelmach and Minister Lindsay Blacket to our last email.
Dear Mr. Papez Sr. and Mr. Papez Jr.: The Honourable Ed Stelmach, Premier, forwarded your e-mail of October 11, 2009, which I also received, regarding the Alberta Human Rights Commission (the Commission). Premier Stelmach has reviewed your concerns and has asked me, as Minister of Culture and Community Spirit, responsible for Alberta ’s human rights legislation and policy framework, to respond on behalf of the Government of Alberta. As I mentioned to you in my October 2, 2009 e-mail, the Government of Alberta established the Office of the Ombudsman to ensure that the processes used by all government departments and agencies are administratively fair. I provided you with contact information for the Ombudsman’s office because the provisions of the Ombudsman Act apply to the Alberta Human Rights Commission, and I wanted to ensure that you were aware of the Ombudsman’s services. You are correct when you say that decisions made by a human rights tribunal cannot be appealed to the Ombudsman. The Ombudsman is not an appeal body. The Ombudsman’s job is to ensure that government departments and agencies, including the Alberta Human Rights Commission, are carrying out their duties in an administratively fair manner. The Ombudsman operates independently of government and determines which complaints to accept. In your September 4, 2009 e-mail, you mentioned that you made human rights complaints to the Commission but the Commission did not find a contravention of the Act. In my July 2009 e-mail, I reminded you that the Human Rights, Citizenship and Multiculturalism Act (now the Alberta Human Rights Act) contains a variety of appeal provisions to ensure that the correct decision is made in each case. If you disagreed with the decisions made by the Commission about your human rights complaints, you had the right to access these appeal provisions within the timelines provided by the Act. For example, if there were human rights tribunal decisions about your human rights complaints, you had the right to appeal to the Court of Queen’s Bench. If your human rights complaints were dismissed by the Director, you had the right to appeal to the Chief of the Commission and Tribunals. If you did not agree with a decision made by the Chief of the Commission and Tribunals, you had the right to seek judicial review of his decision. You can obtain more information about the Commission’s complaint processes and appeal provisions on the Commission’s website at www.albertahumanrights. If you wish, you may contact a lawyer to discuss your desire to have criminal charges brought against the Commission. If you do not have a lawyer, you may be able to find a lawyer to assist you through the Lawyer Referral Service operated by the Law Society of Alberta. You can obtain more information about this service at www.lawsocietyalberta.com/publicservices/lawyerReferralService.cfm. Thank you once again for your comments on this matter. I trust that I have adequately responded to the issues you have raised and will not be corresponding further. Sincerely, Lindsay Blackett Minister of Culture and Community Spirit MLA, Calgary-North West cc: Honourable Ed Stelmach, Premier This email and any files transmitted with it are confidential and intended solely for the use of the individual or entity to whom they are addressed. If you have received this email in error please notify the system manager. This message contains confidential information and is intended only for the individual named. If you are not the named addressee you should not disseminate, distribute or copy this e-mail.
POSTED 7 Jan 2010
STEPEN HARPER PRIME MINISTER OF CANADA email pm@pm.gc.ca
ED STELMACH PREMIER OF ALBERTA fortsaskatchewan.vegreville@assembly.ab.ca
LINDSAY BLACKET ccs.minister@gov.ab.ca
United nation’s office at Geneva CP@ohchr.org
newsonline@ctv.ca
w5@ctv.ca
STOP THE RACIST DNR ORDER IN ALBERTA
7/12/2009
Dear,
STEPEN HARPER PRIME MINISTER OF CANADA email pm@pm.gc.ca
ED STELMACH PREMIER OF ALBERTA fortsaskatchewan.vegreville@assembly.ab.ca
LINDSAY BLACKET ccs.minister@gov.ab.ca
United nation’s office at Geneva CP@ohchr.org
newsonline@ctv.ca
w5@ctv.ca
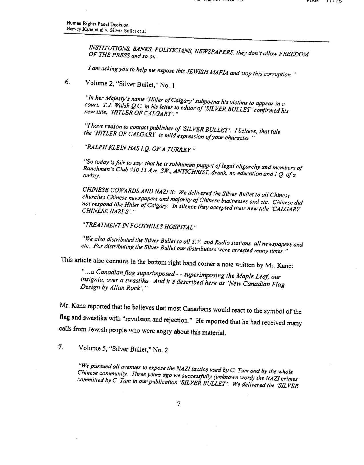
Thank you for your reply to our email (date), the Prime Minister Stephen Harper has not replied at all. Now you are refusing to answer our questions and you seem to ignore the fact that our human rights have been violated by the by the Nazi and Fascist acts of Jewish lawyer XXXXXX XXXXXXX and the director of the Jewish Defense League of Canada Harvie Kane and the director of the XXXXXX Cultural Centre XXXXX XXX. In the spirit of Adolf Hitler, the Nazi Fascists XXXXXX XXXXXXX and Harvie Kane with the help of the corrupted Alberta Human Rights and Citizenship Commission presented fabricated evidence and we were convicted of violating human rights in Alberta. This conviction has had a devastating effect on our lives our justice system is extremely corrupt and there are too many victims of this corruption. From our experience, innocent people are threatened to plead guilty or end up in a mental institution. We waiting for a reply from the United Nations Mission for Human Rights while we wait we request that you reply to our questions. First Question HOW CAN ONE APPEAL A COURT CASE WHERE ONE WAS FORCED TO PLEAD GUILTY? Second Question HOW CAN ONE APPEAL A CASE IF ONE IS IN PRISON AND THE TRANSCRIPT OF THE TRAIL WAS DESTROYED? Third Question HOW CAN ONE APPEAL A DECISION OF THE ALBERTA HUMAN RIGHTS AND CITIZENSHIP COMMISSION WHEN THE NAZI AND FASCIST ALBERTA GOVERNMENT COVERS UP QUESTIONS 1 AND 2 AND A NAZI FASCIST ALBERTA HUMAN RIGHTS AND CITIZENSHIP COMMISSION COVERS UP ALL THE CORRUPTION OF OUR JUSTICE SYSTEM? Our Nazi and Fascist government is following in Adolf Hitler’s example with its treatment of the mentally ill in Alberta. Adolf Hitler found out that the mentally ill were a burden on the German health care system so he closed all the beds for the mentally ill and had all the mentally ill gassed with carbon monoxide. Ralph Klein Alberta’s Hitler in order to save money on the health care system closed all the hospital beds for the mentally ill while Nazi Fascist Albertans cheered in the streets. Today Nazi Fascist Ed Stelmach is opening more long-term beds for the mentally ill in Alberta prisons and homeless shelters and when the mentally ill get to a hospital, they receive a DO NOT RECESITATE in their chart. The mentally ill need short-term hospital beds to receive a diagnosis and medication because the medication today allows the mentally ill to live normal lives in our communities. Now is the time to stop the discrimination of the mentally ill who are in our homeless shelters and our prisons. Now is the time to review the decision of the Alberta Human Rights and Citizenship Commission, which destroyed our lives. Without a shadow of doubt, we are not anti Semitic and anti Asian. The web site of the corrupted Alberta Human Rights and Citizenship Commission is misleading to all and all the other institutions quoting the misleading Alberta Human Rights and Citizenship Commission decision with the false information that we are anti Semitic and anti Asian. Minister Lindsay Blackett, Premier Ed Stelmach, Prime Minister Stephen Harper, and all Canadians you should be ashamed that Alberta is a Nazi and Fascist province. Milan Papez Sr Milan Papez Jr
POSTED 7 Jan 2010
W5 REPLY
Thanks for writing to CTV? From: CTV DOT CA News (newsonline@ctv.ca) Sent: December 22, 2009 2:03:49 PM To: milan papez (m68papez@live.com) Feedback FAQ Feedback on our stories and our website is important to us. While we read every message sent to us, due to the volume of e-mail we get each day, we may not be able to respond to your message personally. Here are some tips to help you get results: Finding stories If you are looking for a particular story you saw on CTV News, try entering likely key words in our “Search” function in the upper right of the news home page: http://www.ctv.ca/news Be sure to check the ‘Video’ tab in the search results page if you don’t see the story you seek. Local news If you require more information from your local CTV station regarding programming or evening newscasts, you can find the website on this page: http://www.ctv.ca/local Photos and Video If you wish to send in news-related photos and videos, please visit CTV's MyNews page: http://mynews.ctv.ca Advertising To learn about advertising on TV: http://sales.ctv.ca For advertising on the web: http://www.ctv.ca/generic/generated/static/CorpAdvertise/default.html Canada AM If your email concerns something you saw on Canada AM, please resend it to: am@ctv.ca Canada AM stories and show information: http://www.ctv.ca/canadaam Recipes from the show are archived: http://www.ctv.ca/recipes/ Tapes and Transcripts To learn how to purchase a video or written transcript of a segment of CTV News, Canada AM, Question Period and W-5: http://www.ctv.ca/servlet/ArticleNews/corp/CTVShows/20040430/archiveSales-default TV programming If your e-mail is not concerning news but other CTV programming, please re-send your note to: programming@ctv.ca Program information: http://shows.ctv.ca Detailed schedules for all of CTV's affiliates: http://shows.ctv.ca/schedule.aspx Contests For questions regarding a contest on the website: http://www.ctv.ca/servlet/ArticleNews/corp/CTVShows/20050715/contact-contestFAQ For more contact info To find mailing addresses, email addresses or phone numbers for specific departments at CTV: http://www.ctv.ca/contactus/ Thank you again for the time and care you took in writing to us, Regards, CTV News Online
POSTED 7 Jan 2010
A REPLY FROM THE UNITED NATIONS OFFICE AT GENEVA
Dear Sirs,
Thank you for your message.
LLO is not in a position to answer your request. Please contact OHCHR directly.
The following link: http://www.ohchr.org/EN/AboutUs/Pages/ContactUs.aspx provides all OHCHR contact details.
Best regards,
The Legal Liaison Office
UNOG
milan papez ---27/01/2010 05:31:28---Legal Liaison Office Office of the Director-General
A REPLY FROM DR. PHIL
Thank you
Your message was successfully sent to DrPhil.com. Thanks for your contribution!
Thanks,
Dr. Phil's Staff
A REPLY FROM THE OPRAH MAGAZINE
Thank you for taking the time to write us! Please know that we read each of the comments and suggestions you send, though we are not always able to offer a personal response.
If you are contacting us about a problem with your subscription, don't worry: We've forwarded your email to our customer service department. You can also contact them by calling 800-846-4020 or emailing OPRcustserv@cdsfulfillment.com
Best,
The Editors of O, The Oprah Magazine
A REPLY FROM GLOBE AND MAIL
Thank you for your question or feedback.
Sincerely
Globeandmail.com
A REPLY FROM REUTERS
Thank you for contacting Reuters Editors. Your comments have been passed on to our editorial team. We appreciate reader feedback, and all e-mails are read by a senior editor. Please note that due to the huge volume of e-mails sent to the Editors daily, we may be unable to provide a personal response. However, we take your compliments, comments and criticisms very seriously, and we invite you to see what some readers are thinking on our Reader Feedback Page at http://blogs.reuters.com/gbu
A REPLY FROM BBC
Thank You
Thank you for contacting us about the BBC Blog Network. We will read every email but we regret we cannot guarantee a personal reply.
WE ARE ASKINKG THE WHOLE WORLD TO COME HELP THE SERIOUSLY MENTALY ILL HERE IN ALBERTA
Protocol & Liaison Service United Nations Office at Geneva Palais des Nations 1211 Geneva 10 Switzerland Tel: +41 (0)22 917 21 37 / 917 21 90 Fax: +41 (0)22 917 00 00 Email: protocol@unog.ch |
United Nations Office at Geneva NGO Liaison Office Office fo the Director-General Room 151 Palais des Nations 1211 Geneva 10 Switzerland Tel: +41 (0)22 917 21 27 Fax: +41 (0)22 917 05 83 Email: ungeneva.ngoliaison@unog.ch |
Legal Liaison Office Office of the Director-General Palais des Nations Avenue de la Paix 8- 14 1211 Geneva 10 Switzerland Tel: +41 (0)22 917 11 40 / 21 29 Fax: +41 (0)22 917 00 01 Email: llo@unog.ch |
nationalinstitutions@ohchr.org |
gmagazzeni@ohchr.org |
civilsocietyunit@ohchr.org |
infodesk@ohchr.org |
letters@time.com |
letters@newsweek.com |
letters@macleans.ca |
National Post Executive |
|
Gordon Fisher, Publisher |
Editorial |
Santina Zito, VP Operations |
Douglas Kelly, Editor-in-Chief |
Trevor Fredericks, Director, Reader Services |
Stephen Meurice, Deputy Editor |
Rob Paine, Director, Information Technology |
Jonathan Harris, Executive Editor |
Jonathan Harris, VP Digital Media |
Anne Marie Owens, Managing Editor, News |
Paul Godfrey, President and CEO |
Jonathan Kay, Managing Editor, Comment |
National |
Benjamin Errett, Managing Editor, Features |
Stephen Meurice, Deputy Editor |
John Racovali, Assistant Managing Editor |
Anne Marie Owens, Managing Editor, News |
Emil Andres, Editorial Assistant |
Mick Higgins, Foreign Editor |
Reporters |
Rob Roberts, Toronto Editor |
Natalie Alcoba |
Jo-anne Macdonald, Front Page Editor |
Stewart Bell |
Laura Morrison, News Editor |
Tom Blackwell |
Scott Stinson, National Editor |
Joseph Brean |
Araminta Wordsworth, Deputy Foreign Editor |
Kathryn Blaze Carlson |
Ron Wadden, Night Editor |
Matthew Coutts |
Daniela Withers, Production Editor |
Adrian Humphreys |
nationalpost.com |
John Ivison, Ottawa Columnist |
Jonathan Harris, Vice President, Digital Media |
Shannon Kari |
Sheldon Sawchuk, General Manager |
Peter Kuitenbrouwer |
Online Editors |
Melissa Leong |
Duncan Clark, Executive Editor, Digital |
Charlie Lewis, Religion Reporter |
Jeremy Barker |
Charlie Lewis, Religion Reporter |
Karen Hawthorne |
Megan O'Toole |
Ron Nurwisah |
Mary Vallis |
Daniel Kaszor |
Kenyon Wallace |
Zoran Bozicevic, Multimedia Producer |
|
Brad Frenette, Arts & Life |
|
Kelly McParland, Full Comment |
|
Scott Maniquet |
Read more: http://www.nationalpost.com/contact/index.html#ixzz0dxGJChJI
The National Post is now on Facebook. Join our fan community today.
Hello, We have sent you this email to let you and the world know about the human rights violations in Alberta Canada. Please help us tell the world about the human rights violations of the seriously mentally ill and minorities. The human rights violations are all explained on this web site http://www.milanpapezsrmilanpapezjr.ca. We are looking for public support the seriously mentally ill need immediate help. Milan Papez sr. Milan Papez jr.
POSTED 1 Feb 2010
WE ARE ASKINKG MORE PEOPLE IN THE WORLD TO COME HELP THE SERIOUSLY MENTALY ILL HERE IN ALBERTA
The Wall Street Journal |
Editorial and Newsroom Contacts at WSJ.com |
wsj.ltrs@wsj.com |
a.murray@wsj.com |
edit.features@wsj.com |
a.latour@wsj.com |
Editorial & Newsroom Contacts at WSJ.com |
dave.pettit@wsj.com |
wsjcontact@dowjones.com. |
kevin.delaney@dowjones.com |
newseditors@wsj.com. |
darren.mcdermott@wsj.com |
feedback@wsj.com. |
|
Europe |
Cybercast News Service |
neil.mcintosh@wsj.com |
OneNewsNow.com. |
Asia |
newsforchristians.com |
elana.beiser@wsj.com |
rcobb31@yahoo.com |
China |
info@christianexaminer.com |
li.yuan@wsj.com |
|
Trinity Broadcasting Network |
BosNewsLife |
The Christian Broadcasting Network |
One Cubed |
CBN.com Editors |
Good News Broadcasting |
CBN News Editors |
info@gnba.net |
The 700 Club |
UCB Christian media |
Christian World News |
Cross Rhythms - Christian Radio Online |
Spiritual Gifts Webcast |
Office:admin@crossrhythms.co.uk |
Scott Ross Streets of the World |
Festivals:festivals@crossrhythms.co.uk |
Hope FM Christian Radio |
Radio:radio@crossrhythms.co.uk |
kevinp@hopefm.com |
Magazine Editorial:editorial@crossrhythms.co.uk |
robbarron@hopefm.com |
Website:web@crossrhythms.co.uk |
studio@hopefm.com |
MSNBC |
blairc@hopefm.com |
TODAY |
Ombudsman |
Nightly News with Brian Williams |
ombudsman@cbc.ca |
Dateline NBC |
www.cbc.ca/contact |
Meet the Press |
ABCNews.com |
The Rachel Maddow Show |
Contact Good Morning America |
Countdown with Keith Olbermann |
Contact World News with Diane Sawyer |
Hardball with Chris Matthews |
Contact Primetime |
|
Contact 20/20 |
|
Contact Nightline |
Hello, We have sent you this email to let you and the world know about the human rights violations in Alberta Canada. Please help us tell the world about the human rights violations of the seriously mentally ill and minorities. The human rights violations are all explained on this web site http://www.milanpapezsrmilanpapezjr.ca. We are looking for public support the seriously mentally ill need immediate help. Milan Papez sr. Milan Papez jr.
SOME MORE REPLIES
webmaster@ucb.co.uk
Thank you for contacting UCB, we value your support. If your email requires a response someone will get back to you as soon as possible.
Thank you for sending your feedback to The Wall Street Journal Online. We are in receipt of your message; however, due to high volume, we cannot guarantee that you will receive a personal response to any emails sent to this address. If you have an inquiry regarding a WSJ.com subscription, site navigation or billing, you will need to email the WSJ.com Customer Service dept. directly at: onlinejournal@wsj.com. Any questions regarding a Wall Street Journal newspaper subscription should be sent to: wsj.service@dowjones.com.
Dear Reader, Thank you for contacting us. Since we receive hundreds of e-mail messages every week, we regret that we can’t answer each one personally. We do, however, read and consider all e-mail we receive and reserve the right to edit all letters for space and clarity. We appreciate your comments and consider your feedback vital to the continued excellence of Newsweek. Hopefully, the following answers to frequently asked questions will be helpful to you.
Or you can write to our Customer Service Department at: Newsweek Customer Service P.O. Box 5571 Harlan, IA 51593-1071
In Canada: Newsweek, Inc. P.O. Box 4067 Postal Station A Toronto, Ontario-M5W2K1
Thanks for your email! The Dr. Oz team wishes it could respond to each and every one of you. Since we receive so many messages every day, we may not be able to personally respond to your note. However, please know it's been received--and much appreciated! If you are in need of immediate assistance, including medical advice or medical attention, below are some of the many publicly available resources that may be able to assist you. Please be advised that, while Dr. Oz provides general medical information in connection with The Dr. Oz Show and various publications and online services, you must look to your personal physician to address your personal medical needs and concerns. And while we wish that we could personally help each and every one of you, we believe that those in serious need deserve to be honored with more assistance than we can provide.
Thank you for your e-mail. We have received your prayer request and we will have a member of our Prayer Department pray about your request shortly. Remember that James 5:16 says, 'The earnest prayer of a righteous man has great power and wonderful results.'
Unfortunately, the volume of e-mail TBN receives does not allow us to respond to each message personally.
Most questions can be answered by accessing the TBN web site at http://www.tbn.org . Especially note the 'About Us' and 'Links' areas of the web site.
You are welcome to call TBN's prayer line anytime at (714) 731-1000. You may call TBN's business office at (714) 832-2950. The business office is open Monday through Friday, 8:30 AM to 5:30 PM, Pacific time. Of course, you can always write to us at:
TBN P.O. Box A Santa Ana, CA 92711
God bless you as you continue to seek Him concerning His purpose and will in your life!
POSTED 9 Feb 2010
To prayer@cbn.org
and cbnpartnerrepelaine@cbn.org
We request that you continue to pray for the 20,000 seriously mentally ill people in Alberta. Every human right granted these people our provincial government is abusing and denying. These people and they die in the streets and alleys of our cities. We also need you to continue to pray for the seriously mentally ill who are trapped and dying in prison.
Milan sr and jr
POSTED 15 Feb 2010
Thank you Calgary Police Chief Rick Hanson and thank you all of you who prayed especially those of you from the 700 CLUB, because our father answered our prayers when Calgary Police Chief Rick Hanson said on the CBC that the ”Mentally Ill Need Treatment” 05/03/2010.

Mentally ill need treatment: police chief
CBC News
Rick Hanson said Thursday the force is working on several projects designed to steer people with mental health and addiction problems into treatment rather than send them to prison – a place he said they do not belong.
And the creation within two years of a separate, secure facility for detox and treatment is a key part of that strategy.
"We know that the mentally ill component that are doing time in jails and prisons today is way too high. And they ought not to be in prisons and in jails so we're really pushing hard for what we're calling a secure detox facility," said Hanson.
"It allows us to focus on the real criminals you know, the people, the predators who are out there who are committing the assaults, the sexual assaults, the robberies, the violent crimes."
Treatment over punishment for mentally ill
A schizophrenic diagnosed at 16 named Diana – who did not want her last name revealed – agreed there should be a new approach. She coped with her illness with street drugs and alcohol. That got her in trouble with police and landed her in jail.
"What I wish would have happened, that they would have taken me to the hospital to get help," she said. "I didn't know how to defend myself, I didn't know how to tell somebody that I need my medication. I don't have a little band that says I have schizophrenia."
Calgary police are already working at getting mentally ill people paired up with mental health professionals, according to Hanson. Four squad cars, each with an officer and a mental health worker, patrol city streets.
Hanson is also pushing for a special court system specializing in mental health cases.
"We want to develop a community diversion court – we're talking about that with our partners in the justice system – where the justice system is geared less to punishment and more to treatment for those who are suffering from drug addictions alcoholism and mental illness," he said. "Because if we don't do it, those numbers are going to increase astronomically on the street."
A similar program already exists in the city of New York, where Hanson plans to travel later this month.
"New York has probably got the best model that has an integrated approach to dealing with mentally ill people and addicted people that streams them away from the punitive nature of the justice system and into treatment programs," said Hanson.
POSTED 8 Mar 2010
CBN Partner Rep Elaine (CBNPartnerRepElaine@cbn.org)
CBN Partner Rep Edward (Mail10@cbn.org)
Prayer (Prayer@cbn.org)
Thank you for your prayers because our Father listened to our prayers as per the CBC news Calgary “Mentally Ill Need Treatment” Calgary police Chief Rick Hanson 05/03/2010. Attached is a copy. Since we have 20,000 people with schizophrenia in Alberta and we do not have any hospital beds, doctors and nurses we need you all to continue to pray so that the Alberta government will open the hospital beds and hire psychiatrists and nurses because the waiting time to see a psychiatrist is from 8 months up to 1 year.
Milan sr and jr
POSTED 8 Mar 2010
To
14/3/2010
Open letter to Alberta Premier Ed Stelmach
And all Alberta MLA’s
We are the Victims of Schizophrenia Society and we are the ones who introduced the PRIVATE BILL for involuntary treatment of the mentally ill in 2007 to the Alberta Legislature. This PRIVATE BILL approved by you and became law; we believed that the psychiatrists in this province would start to provide the treatment that the mentally ill need. This did not happen because there are not any hospital beds for the mentally ill and there is an extreme shortage of psychiatrists. LOOK AT THE STATISTICS 1 person in 100 in Alberta will suffer from Schizophrenia so we have 30,000 ill with schizophrenia 66% or 20,000 are without any treatment if treatment is not imposed on an ill person 12% will commit suicide that is 2,400 dead bodies 12% will kill somebody that is 2,400 dead bodies. The blood and suffering of 20,000 people with schizophrenia is on your hands and on the hands of every Albertan who fails to help. The Calgary police chief Rick Hanson recognized this problem and he started to help a few people with schizophrenia. We are making a plea to you MLA’s and all Albertans provide the treatment for all mentally ill people today and help save their lives. All additional info is on our web site www.milanpapezsrmilanpapezjr.com or .
Milan sr and jr
POSTED 15 Mar 2010
THE MEDICAL PROFESSION HAS CLEARLY FAILED THE MENTALLY ILL IN ALBERTA
We have received our first replies from Alberta legislature and it does not look good for the severely mentally ill in this province.
“Good morning Milan,
Thank you for replying so promptly. As you do not reside in our constituency Jeff Johnson will not reply directly to your concern but he will be cc’d in on the response. Have a nice day.
Sheena
Sheena Pacholok
Constituency Assistant
for Jeff Johnson, MLA
Athabasca-Redwater
Tel: 780-675-3232
Fax: 780-675-2396”
This clearly shows that the MLA’s clearly are not interested in helping the severely mentally ill and clearly do not understand that the families of the severely mentally ill and the severely mentally ill all live in every constituency across Alberta. In our attempt to do everything in our power to help the severely mentally ill in Alberta Milan junior enrolled in rehabilitation program at the University of Calgary and we are shocked to find out that the educators at the University of Calgary are teaching theories that belong in the dark ages.
Date: Mon, March 22, 2010 1:37 am
To:“eosler” eosler@ucalgary.ca
"lfritz" lfritz@ucalgary.ca
Cc: rclegg@ucalgary.ca
Ms. Elizabeth Osler
Secretary to General Faculties Council
University of Calgary
Ms. Osler:
Re: My Appeal Milan Papez, ID Number 803730
When it comes to advocating for the severely mentally ill in Alberta my language was not good enough for you however it appears that the city of Calgary police Chief Rick Hanson said it clearly and succinctly for all of you who do not know what you are talking about. I believe that the time has come for you to revisit my appeal. There is no excuse for the horrendous treatment in Alberta of the severely mentally ill for the past 25 years. There is absolutely no excuse for what has happened over this issue at the University of Calgary and the sad and rotten state of affairs in Alberta clearly falls on the shoulders of the educators in Alberta. The truly sad thing is that the University of Calgary stifled free speech. I believe that the time has come to change my mark and give me my gift certificate to the U of C bookstore and allow me to have lunch with my classmates, the time has come for all of us to do everything possible for the 20,000 severely mentally ill people in Alberta. I am enclosing a copy of Rick Hanson’s CBC press release.
Milan
803730
To all of you trying to contact us stand assured that we are doing everything in our power to help the severely mentally ill in Alberta because the mentally ill do not complain however we do not have all of the information to deal with your inquiries. We kindly suggest that you take your inquiries to the source.
- Alberta Human Rights Commission humanrights@gov.ab.ca
- Ed Stelmach fortsaskatchewan.vegreville@assembly.ab.ca
- Lindsay Blacket ccs.minister@gov.ab.ca
- Stephen Harper Prime Minister of Canada pm@pm.gc.ca
- Nancy Marlett marlett@ucalgary.ca
- Dr. Jeannette Waegemakers Schiff schiff@ucalgary.ca
- "Gayla Rogers" grogers@ucalgary.ca
- "Annette Lane" alane@ucalgary.ca
- Hans Smits hsmits@ucalgary.ca
- “eosler” eosler@ucalgary.ca
Milan sr and jr
POSTED 1 Apr 2010
YOU HAVE GOT TO BE KIDDING A JOKE NO JOKE
Unwelcome Alberta rat deported to B.C.
CBC News
""Matilda, unwelcome because of Alberta's strict controls, is heading to the more laid-back province of B.C. to start a new life."Matilda, unwelcome because of Alberta's strict controls, is heading to the more laid-back province of B.C. to start a new life.Matilda was just a newcomer to Alberta, but the rat quickly found herself on the wrong side of the law and could have paid the ultimate price.
Matilda was just a newcomer to Alberta, but the rat quickly found herself on the wrong side of the law and could have paid the ultimate price. "No rats, no how, no way," said Bill Bruce, director of Calgary's animal and bylaw services.After hearing about the province's strictly enforced rodent policy — which requires rats to be euthanized — the owners turned Matilda in. "Matilda came to us as a surrender. They turned it in because they wanted to be law abiding. So the person did the right thing," said Bruce.
But Matilda has been spared the usual fate, thanks to a little networking with neighbouring B.C., a province that has not banned rats. "Fortunately, the staff took a little bit of a liking to her and made some contact in British Columbia with a rescue that had the capacity to take her," said Bruce.
No crime committed
Added Dr. Marta Alguacil, a veterinarian with Calgary's animal and bylaw services: "There is really no reason to put her down. Her only crime is being in the wrong place at the wrong time.""
SILVER BULLET
SPECIAL EDITION 27/4/2010
THE SAD STATE OF EDUCATION IN THE CANANDIAN PROVINCE OF ALBERTA
- I. The quality of education that Albertans receive is only good enough to save the lives of rats.
- II. When it comes to teaching about the saving of thousands of lives of the mentally ill at the University of Calgary. The University of Calgary is teaching theories that are 40 years old and which has never worked.
- III. The only help that the mentally ill receive in Calgary is a police cruiser with a nurse on board to pick them up off the street only to put them back on the street because there are no hospital beds and there is no medical help available.
- IV. Premier Ed Stelmach and all the MLA’s put together do not have enough of an education to care for the seriously mentally ill people in Alberta.
- V. We are survivors of German Nazis we recommend that the Jewish Defense League of Canada get educated at the Simon Wiesenthal Center.
See these web sites for all information on these issues.
http://www.milanpapezsrmilanpapezjr.com
http://www.milanpapezsrmilanpapezjr.ca
Milan sr and jr
POSTED 27 Apr 2010
We are still here we have not given up.
POSTED 20 Dec 2010
Our latest salvo at the Silver Bullet to do what is right and just for the severely mentally ill and the wrongfully convicted in Alberta.
POSTED 11 Feb 2011
WINTER SUPPLEMENT
THE PRESS CALLS THIS A COVER FOR OUR PROPAGANDA
The press has been brainwashing Albertans and has covered up fraud in the legal system and fraud of the government of Alberta. Here is the proof that the system of delivering news one can trust has failed and instead is brainwashing Albertans.
Exhibit A:
• Why has the press never told you our side and that we are victims of “Stalin’s monster trials” committed by our legal system in Alberta.
• Why does the press not ask the government of Alberta as to what happened to the transcript there has never been a transcript of this trial and to the record of time served Milan Jr. went to jail and there is no record of this conviction at the National Depository for Criminal Records? Instead, the press is making up stories that Hepner was from legal aid, and stories about the transcript, and stories about us being new Canadians.
Exhibit B:
• The press told us that Ralph Klein’s health care reform was the greatest reform ever. To this day, the Alberta government is repairing the damage caused by Ralph Klein’s health care reform.
• The press is claiming that we are using mental health issues to hide our propaganda. The fact is we have done nothing but follow the time honored recommendations of E. Fuller Torrey, M.D. in his book Surviving Schizophrenia 4th edition since the 1980’s the implementation of these recommendations has resulted in the savings of billions of dollars to health care costs in the United States of America.
• Lobby the state legislature to give greater priority to seriously mental illness for the expenditure of state mental health dollars. p. 405
• Lobby for the establishment of a Bill of rights guaranteeing minimum standards of service for individuals with serious mental illness. p. 405
• Change state insurance laws to require insurance companies to cover serious mental illness in the same way they cover serious physical illness. p.406
• Vigorously oppose closing of hospital beds until after adequate housing and outpatient services are in place. p.407
Exhibit C:
• How could the Human Rights Commission of Alberta rule that we are anti-Semitic? The Human Rights Commission knew we wrote and produced There is a Rose Garden at the Pump house theatre in Calgary a play about the Holocaust.
AS YOU CAN SEE EITHER YOU ARE BRAINWASHED OR YOU ARE NAZI NAZI’S
IT IS TIME TO BE DEPROGRAMMED
THE PRESS BRAINWASHED YOU WHEN THEY TOLD YOU THE SILVER BULLET IS PROPAGANDA
POSTED 3 Mar 2011
The U of C professors must speak out now that they too were intimidated to teach 50-year-old theories that never worked by the government of Alberta instead of teaching science.
POSTED 20 Mar 2011
Our most current salvo at the Silver Bullet to do what is right and just for the severely mentally ill and the wrongfully convicted in Alberta.
WE NEED YOUR HELP AND THE HELP OF ALL OUR VISITORS TO OUR WEB SITE TO CALL ALL THE ABOVE LISTED IN OUR MANIFESTO.
POSTED 4 Jun 2011
Our most recent attempt at the Silver Bullet to do what is right and just for the severely mentally ill and the wrongfully convicted in Alberta.
WE STILL NEED YOUR HELP AND THE HELP OF ALL OUR VISITORS TO OUR WEB SITE TO CALL ALISON REDFORD TODAY.
POSTED 6 Nov 2011
We are doing everything in our power to get our government to help all the people with a serious mental illness. For our effort, we have been harassed by our governments and falsely arrested and investigated. Here is our latest attempt a warning document.
On May 7 2012 the federal promised to release Canada’s first ever National Mental Health Strategy which was published in the in the National Post. On May 7 2012, the federal government was silent. We are still without a National Mental Health Strategy. This is a federal government conspiracy to destroy the universal health care system in Canada.
POSTED 16 May 2012
Elizabeth Osler
Secretary to General Faculties Council
Administration Building, Room 127
2500 University Drive NW
Calgary AB T2N 1N4
RE: Appeal of Grade SOWK 553.32
As it turns out I was right about the 20, 000 seriously mentally ill people in Alberta and as it turns out all of Canada who are without medication, a doctor, a nurse, and a hospital bed; 20,000 people are left to self-medicate in the Ghetto Asylum. The psychiatric profession is at fault for not doing their job right to care for the seriously mentally ill people like Darren Wourms and Vince Lee. It is the responsibility of the University of Calgary to organize a symposium for all psychiatrists in Canada to behave themselves and to take better care of all the seriously mentally ill people who are left to self- medicate in our Ghetto Asylums. We must implement a national mental health strategy like the one that was implemented in the US in 1984 which will save billions of dollars in healthcare cost and thousands of lives.
Milan Papez
803730
POSTED 10 June 2012
We at the Silver Bullet have been engaged in political bouts throughout the summer and fall here are a couple examples in print.
POSTED 29 December 2012
THIS IS THE TRANSCRIPT OF THE ALBERTA HUMAN RIGHTS AND CITIZENSHIP COMMISSION June 13 2002. HARVIE KANE MADE SWORN TESTIMONY AT THIS HEARING AND ALL OF HIS EVIDENCE WAS FABRICATED. OUR TESTIMONY WAS CONSTANTLY INTERRUPTED BY INTIMIDATION FROM THE HEARING PANEL AND WE WERE NOT ALLOWED TO PRESENT OUR DEFENSE IN FULL. THE FACT THAT THAT WE WROTE AND PRODUCED A PLAY “THERE IS A ROSE GARDEN” WHICH IN FACT IS ABOUT THE HORRIFIC OUTCOME OF THE HOLOCAUST WAS NOT ALLOWED AS EVIDENCE. WE WERE INTIMIDATED BY THIS RULING BY THIS RULING EVERYWHERE WE LOST OUR JOBS WE COULD NOT FIND NEW JOBS. MY CHILDREN WERE RIDICULED AND INTIMIDATED EVERYWHERE THEY WENT. THIS RULING CAUSED EXTREME PAIN AND SUFFERING FOR THE WHOLE FAMILY AND THIS RULING WAS POSTED UNTIL THIS YEAR ON THE AHRCC WEB SITE, WHEN THEY TOOK IT DOWN.
After the devastating wrongful ruling from the ALBERTA HUMAN RIGHTS AND CITIZENSHIP COMMISSION, the Calgary Herald made matters even worse.
It took some work to get the Calgary Herald to acknowledge us, and our side of the ruling.
POSTED 29 December 2012
THIS IS HOW WE ARE TREATED BY THE JUSTICE SYSTEM IN CALGARY ALBERTA CANADA
![]() |
![]() |
![]() |
![]() |
![]() |
![]() |
![]() |
![]() |
![]() |
![]() |
![]() |
![]() |
![]() |
![]() |
![]() |
![]() |
![]() |
![]() |
![]() |
![]() |
![]() |
![]() |
![]() |
![]() |
![]() |
![]() |
POSTED 7 April 2013
OUR LATEST EFFORTS TO BUILD A WEB OF CANADIANS TO CALL THE PRIME MINISTER
FOLLOWING ARE THE LATEST TWO “SILVER BULLETS” ONE FOR THE 200 000 PEOPLE WITH SCHIZOPHRENIA AND THE OTHER FOR THE FIGHT TO GET JUSTICE.
POSTED 14 April 2013
POSTED 11 Nov 2013
WE TOLD YOU SO
IN ADDITION, WE TOLD YOU THIS TOO
SO, HOW MANY MORE PEOPLE HAVE TO DIE?
YOU KILLED THE U OF C FIVE
POSTED 22 Apr 2014
EVERY CANADIAN MUST SEE LIDICE THE MOVIE FROM THE CZECH REPUBLIC THIS MOVIE PERFECTLY SHOWS THE TRUE CHARACTER OF ALL CANADIANS
SILVER BULLET
now one is able to contact us via our contact page
LAST UPDATED 22/12/2015
silver bullet 2009 © All Rights Reserved.

























